Kumpulan Soal Differential
Differential forms the exterior product and the exterior derivative are independent of a choice of coordinates. Kalau kamu ingin belajar rumus integral secara lebih mendalam coba simak penjelasan yang ada di sini.

Kinetic Energy Equations Formulas Physics Calculator Kinetic Energy Energy Calculator Equations
Meneruskan tenaga mesin ke gigi ring gear dan merubah arah tenaga 900 untuk.

Kumpulan soal differential. Tipe 1 Soal Uas Differential Berfungsi untuk membuat kendaraan lebih lincah pada saat dikemudikan dan memperpanjang umur pemakaian ban karena pada saat membelok sudut roda kiri dan kanan dibuat tidak sama disebut. Ex in sil 2 in sil 3. Psikotest UI - Tes Kemampuan Diferensial Hubungan Kata 2 Beserta Jawabannya Watch later.
Tentukan turunan pertama dari y 3x-24 4x-13 adalah. PDB adalah persamaan diferensial yang hanya mempunyai satu peubah bebas. Setelah menerima materi kamu bisa langsung mempraktikkannya dengan mengerjakan latihan soal yang telah kami sediakan.
Differential forms can be multiplied together using the exterior product and for any differential k-form α there is a differential k 1-form dα called the exterior derivative of α. Contoh soal seni budaya dan jawaban kelas x sepuluh contoh soal sistem transmisi dan jawaban contoh soal uas sistem rem dan jawaban. IF4058 Topik Khusus 2.
Download Contoh Soal Dan Jawaban Persamaan Diferensial Biasa Tersulit PDF 1700 MB - SamPDF SamPDF Differential Equations. Integral matematika merupakan salah satu materi penting yang menjadi akar dari. PersamaandiferensialbiasaPDB - Ordinary Differential Equations ODE.
Utbk sbmptn utbk2020 utbksbmptn bimbel ltmpt beasiswakuliah sbmptn2020 bimbelterbaik beasiswalpdp info3sma bimbelsbmptn infosbmptn masukptn yukbelajar tryoutonline spmbpknstan pknstan bimbelpknstan infopknstan lolossbmptn pknstan2020. Setelah menerima materi kamu bisa langsung mempraktikkannya dengan mengerjakan latihan soal yang telah kami sediakan. Most Wanted Contoh Soal Tes Dinas Perhubungan Differential Aptitude Test Contoh Soal Gat Pln 1 Contoh Soal Aptitude Test Dan Jawabannya Ilmusosial Id Pdf Contoh Soal Gat Pln Kalista Putri Academia Edu.
Yuk follow sebelum di PRIVATE. Pelajaran Soal Rumus Integral. Sil 1 top kompresi pada kijang seri 3 K katup-katup yang di setel adalah.
Secara mendasar ada 2 jenis kalkulus yang kamu pelajari yaitu. Pelajaran Soal Rumus Turunan Diferensial. Kumpulan jawaban dan soal otomotif tkr dan tsm.
Apa fungsi dari side gear pada differential. Ex in sil 2 in sil 3. Tipografi adalah ilmu yang mempelajari tentang seni dan desain huruf termasuk simbol dalam aplikasinya untuk.
Kita uraikan satu per satu dulu masing-masing persamaan misalnya. Ex in sil 2 ex sil 4. Transmisi umumnya terpasang pada chassis frame sedangkan differential dan sumbu belakang atau rear axle disangga oleh suspensi sejajar dengan.
Peubah bebas biasanya disimbolkan dengan x. Httpistiartostaffugmacid Teknik Penyelesaian Persamaan Laplace 26 iterasi n T11 T 21 T 31 T 12 T 22 T 32. Kumpulan Soal-Soal Diferensial.
Thermostat radiator Watter pump water jaket. In an automobile such limited-slip differentials are sometimes used in place of a standard differential where they convey certain dynamic advantages at the expense of greater complexity. 5622 likes 16 talking about this.
Kalau kamu ingin belajar turunan diferensial secara lebih mendalam coba simak penjelasan yang ada di sini. Lecture 11-12 Definitions and Terminology and. If playback doesnt begin shortly try restarting your.
Komponen yang ke 5 pada. February 28 2020. Soal dan Pembahasan Ujian Akhir Semester UAS Kalkulus Diferensial Prodi Pendidikan Matematika FKIP Untan latexpage Berikut ini adalah soal ujian akhir semester beserta pembahasan mata kuliah Kalkulus Diferensial Differential Calculus Tahun Ajaran 20172018 yang diujikan kepada mahasiswa pendidikan matematika FKIP Untan semester 2 oleh Drs.
Kumpulan Soal UTBK Sbmptn. Differential carrier rumah gardan B. Buku ini berisi prediksi dan soal soal tahun tahun sebelumnya bertujuan agar para calon peserta USM STMKG dapat mengetahui beberapa bentuk soal.
12 Differential Equation Ex 12 5 In 2020 Class 12 Maths Math Differential Equations KUMPULAN SOAL TYPOGRAFI Hirumi Informatika Multimedia Jawaban. Dydx nUn-1. A limited-slip differential LSD is a type of differential that allows its two output shafts to rotate at different speeds but limits the maximum difference between the two shafts.
Watter pump water jaket thermostat radiator. F x y 3x-24 misal U 3x-2 dudx 3. Transmisi umumnya terpasang pada chassis frame sedangkan differential dan sumbu.
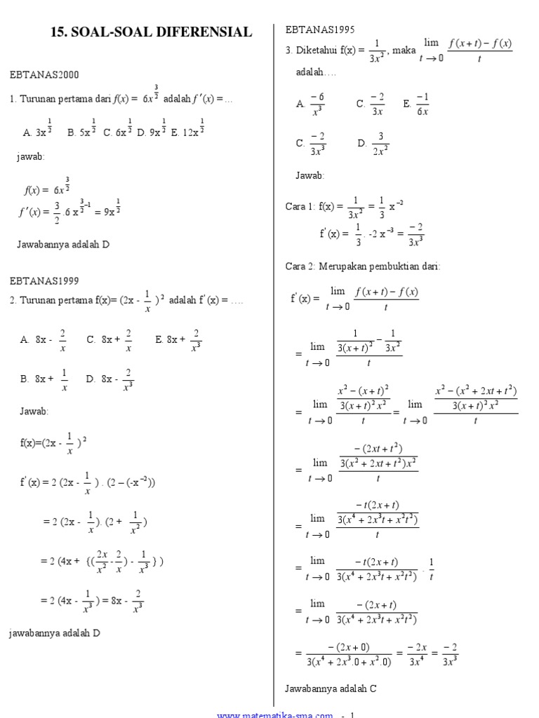
15 Soal Soal Diferensial Pembahasan
Contoh Soal Termo Tk Heat Gases

Sifat Logaritma Bukti Contoh Soal Dan Penyelesaiannya Nurlaela Eka Cahyati Math

Today The Center Of Math Has A Special Blog Post And Infographic About Women In Stem To Honor All Of Their Amazing Acco Math Blog Math Infographic Mathematics

Hasil Gambar Untuk Kumpulan Soal Kumon Matematika Level 1 Matematika Sekolah Dasar Pendidikan

Kumpulan Soal Pembuktian Identitas Trigonometri Trigonometri

26 Matriks Matrices Buku Catatan Matematika Matematika Kelas 5 Kalkulus

Differentiate Or Integrate Android App Playslack Com Version 1 3 4 Now The Only Permis Differential Equations Plot Graph Differentiation And Integration

Belajar Rumus Matematika Kelas 7 8 9 Kumpulan Rumus Matematika Kelas 7 8 9 Matematika Kelas 8 Matematika Kelas 7 Pelajaran Matematika

Happy Thursday Check Out This Week S Advanced Knowledge Problem Of The Week About Complex Analysis Solution Http Bit Complex Analysis Calculus Mathematics

Persamaan Kuadrat Pengertian Macam Sifat Rumus Contoh Soal Matematika Kelas 5 Buku Catatan Matematika Matematika

Belajar Rumus Matematika Kelas 7 8 9 Kumpulan Rumus Matematika Kelas 7 8 9 Matematika Matematika Kelas 7 Matematika Kelas 8
Contoh Soal Termo Tk Heat Gases
Contoh Soal Dan Jawaban Mathematical Optimization Equations




Posting Komentar untuk "Kumpulan Soal Differential"